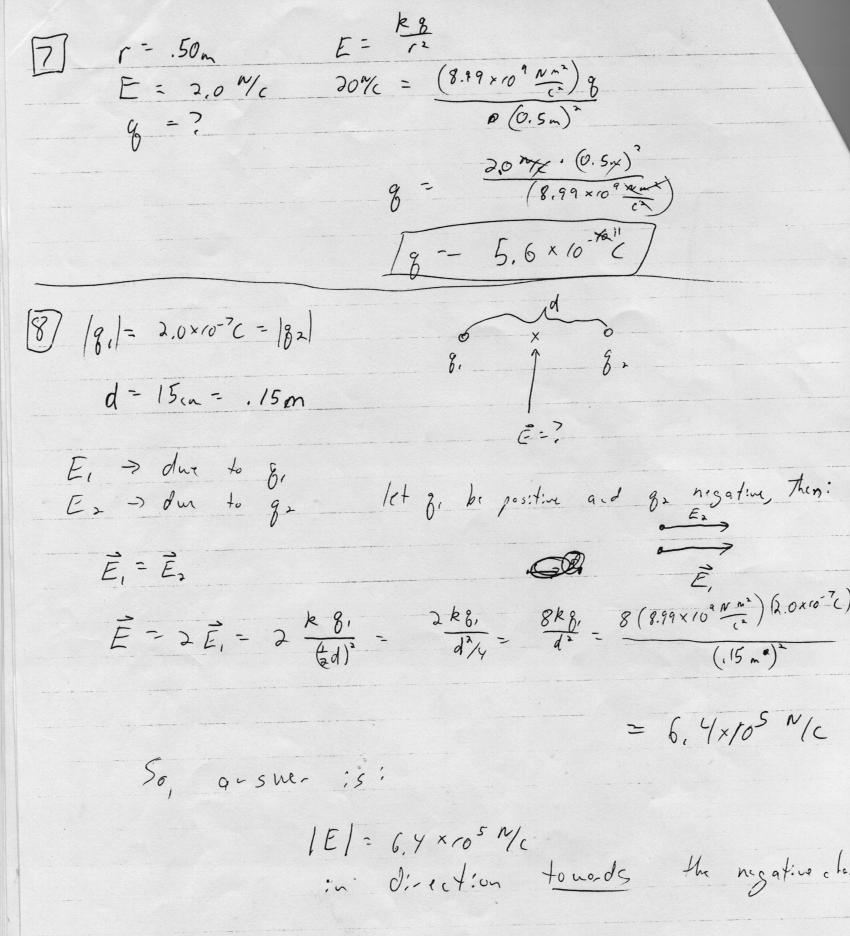
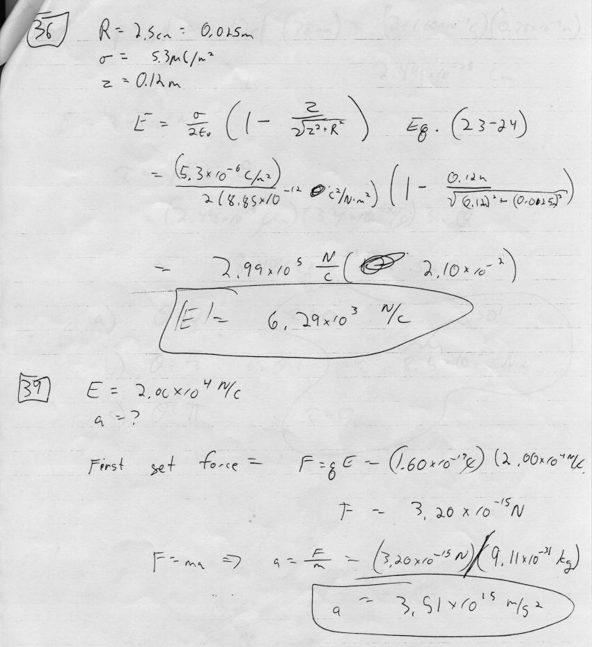
Physics 202: Homework 2 Solutions
Last updated September 25, 2000.
Steve Liebling (
home
)