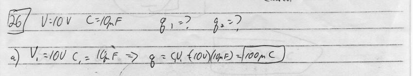
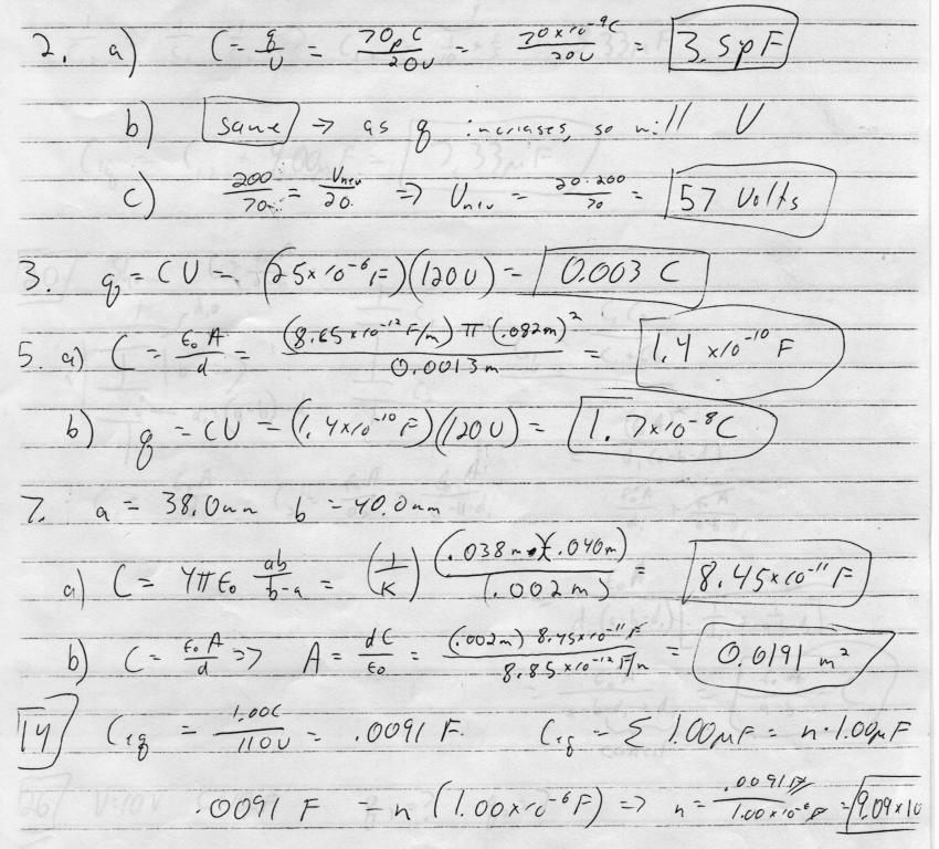
Physics 202: Homework 5 Solutions
Last updated October 23, 2000.
Steve Liebling (
home
)